Pearson 30 USYRU Data
Return to Pearson Info . . .
Return to Pearson 30 . . .

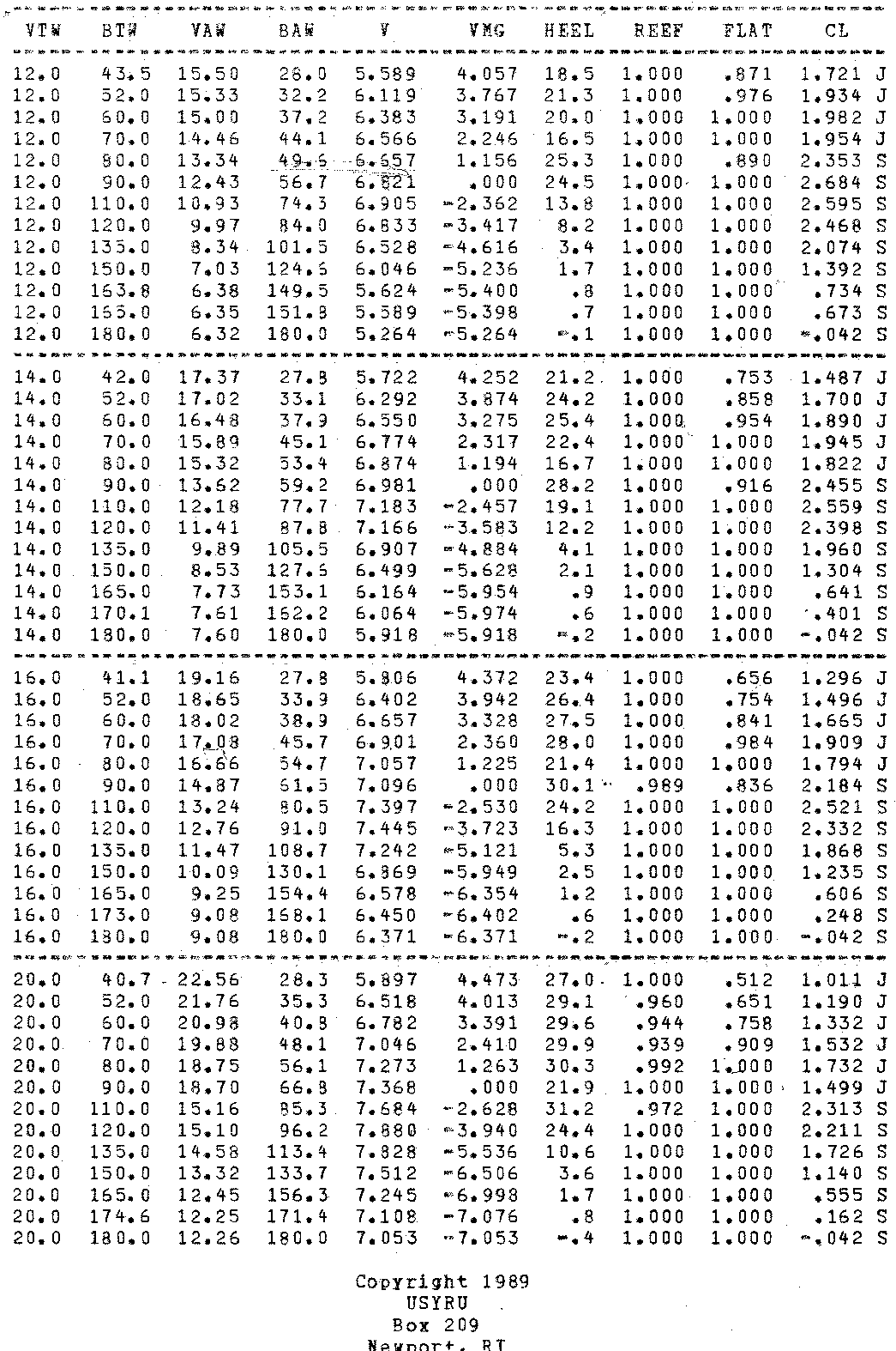
Velocity Prediction Data
Note that this data set is for a boat with a fixed prop, probably two blade.

Velocity Polar Plots
Note that this data set is for a boat with a fixed prop, probably two blade.

Stability Data and Plot